| 廣告聯系 | 簡體版 | 手機版 | 微信 | 微博 | 搜索:
歡迎您 游客 | 登錄 | 免費注冊 | 忘記了密碼 | 社交賬號注冊或登錄

首頁

溫哥華資訊

溫哥華地產

溫哥華教育

溫哥華財稅

新移民/招聘

黃頁/二手

旅游

為什麼說宇宙中最神秘的整數是137?


請用微信 掃一掃 掃描上面的二維碼,然後點擊頁面右上角的 ... 圖標,然後點擊 發送給朋友分享到朋友圈,謝謝!
在量子電動力學中,帶電粒子通過交換光子發生電磁相互作用


按照量子電動力學的理論,你眼前的屏幕發光、你的神經信號傳導、甚至是最簡單的觸摸一個物體,只要有帶電粒子和光子要發生相互作用,強度大小都要通過精細結構常數來決定。

就像萬有引力常數、普朗克常數等支撐物理世界的基石一樣,如果精細結構常數的數值稍微變大或者變小一點點,恒星內部的核聚變就會變得不穩定,化學鍵的結構也會發生根本性的變化,生命可能根本無法演化。所以,精細結構常數不僅僅是一個數字,它某種程度上支撐了我們所知的宇宙物質結構。


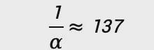
回到精細結構常數這個數字本身,我們通過公式計算可以得到:

α=0.0072973……

神奇的是,如果對α取倒數,會發現非常接近一個整數:137。




137,這不僅是一個整數,還是一個質數,似乎很少出現在物理學或生活場景中。它為何會出現在這裡?

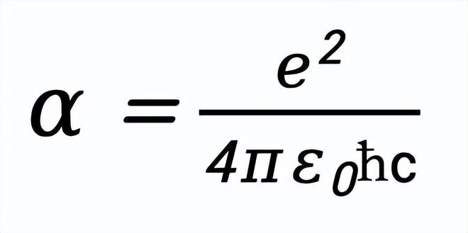
從表達式




還可以看出,精細結構常數是多個物理學常數的組合。其中基本電荷e來自四大相互作用之一的電磁相互作用,約化普朗克常數?來自量子力學,真空中的光速c來自相對論。

更重要的是,精細結構常數是一個無量綱常數——它沒有單位,只有純數值,就像數學中的圓周率π一樣,在不同的單位制下始終如一。無論是用米制還是英制,無論你是地球人還是火星人(10.920, -0.32, -2.85%),在宇宙的任何一角落,精細結構常數的倒數都約等於137。

一個不隨人類選取單位制而改變的無量綱常數,竟然能把當今幾大物理學理論都聯系在了一起,倒數還是一個神秘的、看似憑空出現的整數137。從提出以來,精細結構常數和137就引起了無數頂尖物理學家的好奇。


覺得新聞不錯,請點個贊吧     無評論不新聞,發表一下您的意見吧
注:
  • 新聞來源於其它媒體,內容不代表本站立場!
  • 在此頁閱讀全文
    猜您喜歡:
    您可能也喜歡:
    我來說兩句:
    評論:
    安全校驗碼:
    請在此處輸入圖片中的數字
    The Captcha image
    Terms & Conditions    Privacy Policy    Political ADs    Activities Agreement    Contact Us    Sitemap    

    加西網為北美中文網傳媒集團旗下網站

    頁面生成: 0.0244 秒 and 5 DB Queries in 0.0016 秒